Publications
This page presents a curated list of key publications from the emerging-PV initiative. It includes The Emerging PV Reports—the annual review articles published in Advanced Energy Materials—as well as consensus statements and best-practice protocol papers led by, or developed in collaboration with, members of the emerging-PV consortium.
These contributions reflect not only our recommendations for standardized data reporting and performance comparison, but also our broader commitment to advancing the development, transparency, and reliability of research in emerging photovoltaic technologies.
Device Performance of Emerging Photovoltaic Materials (Version 6)
Osbel Almora, Agustin O. Alvarez, Derya Baran, Carlos I. Cabrera, Luigi A. Castriotta, Bruno Ehrler, Sule Erten-Ela, Kenjiro Fukuda, Fei Guo, Jens Hauch, Anita W.Y. Ho-Baillie, T. Jesper Jacobsson, Rene A. J. Janssen, Thomas Kirchartz, Maria A. Loi, Richard R. Lunt, Xavier Mathew, Jie Min, David B. Mitzi, Mohammad K. Nazeeruddin, Ana F. Nogueira, Ulrich W. Paetzold, Nam-Gyu Park, Barry P. Rand, Henry Snaith, Takao Someya, Christian Sprau, Lulu Sun, Karen Forberich, Christoph J. Brabec
Advanced Energy Materials 16 (7) e05525 First Published: 04 December 2025

In the 6th emerging PV report, the efficiency of single junction perovskite (circles), organic (hexagons), dye sensitized (pentagons), kesterite (diamonds), Sb2Se3 (right triangle), and AgBiS2 (left triangles) solar cells at the emerging-pv.org database was analyzed considering data over the last decade.
A Flexible Photovoltaic Fatigue Factor for Quantification of Mechanical Device Performance
Lulu Sun, Kenjiro Fukuda, Ruiqi Guo, Luigi A. Castriotta, Karen Forberich, Yinhua Zhou, Takao Someya, Christoph J. Brabec, Osbel Almora
Advanced Functional Materials 35 (19) 2422706 First published: 05 January 2025

The flexible Photovoltaic fatigue factor (F) quantifies mechanical and photovoltaic performance as a function of the power conversion efficiency (PCE), the strain (), and the number of bending cycles (NBC) in bending tests. The strain depends on the bending radius (R) and the thicknesses of the substrate (ts) and the photovoltaic device (td).
Device Performance of Emerging Photovoltaic Materials (Version 5)
Osbel Almora, Guillermo C. Bazan, Carlos I. Cabrera, Luigi A. Castriotta, Sule Erten-Ela, Karen Forberich, Kenjiro Fukuda, Fei Guo, Jens Hauch, Anita W.Y. Ho-Baillie, T. Jesper Jacobsson, Rene A.J. Janssen, Thomas Kirchartz, Richard R. Lunt, Xavier Mathew, David B. Mitzi, Mohammad K. Nazeeruddin, Jenny Nelson, Ana F. Nogueira, Ulrich. W. Paetzold, Barry P. Rand, Uwe Rau, Takao Someya, Christian Sprau, Lídice Vaillant-Roca, Christoph J. Brabec
Advanced Energy Materials 15 (12) 2404386 First Published: 26 November 2024

In the 5th emerging PV report, Rau’s logarithmic loss analysis shows perovskite solar cells (PSCs) at 86% of their detailed balance efficiency limit (DBEL), only second to Gallium Arsenide cells. Organic solar cells (OPV) reach 61% of their DBEL, in the sixth position, after inorganic thin film cadmium telluride and CIGS. Matildite (AgBiS2) solar cells are 31% of their DBEL.
A Bending Test Protocol for Characterizing the Mechanical Performance of Flexible Photovoltaics
Kenjiro Fukuda, Lulu Sun, Baocai Du, Masahito Takakuwa, Jiachen Wang, Takao Someya, Lluis F. Marsal, Yinhua Zhou, Yiwang Chen, Hongzheng Chen, S. Ravi P. Silva, Derya Baran, Luigi A. Castriotta, Thomas M. Brown, Changduk Yang, Weiwei Li, Anita W.Y. Ho-Baillie, Thomas Österberg, Nitin P. Padture, Karen Forberich, Christoph J. Brabec, Osbel Almora
Nature Energy 9 (11), 1335–1343 First Published: 18 October 2024

A protocol for evaluating power conversion efficiency (PCE) over 1,000 bending cycles at 1% strain is presented. The strain is defined through the bending radius (R) relative to the device thickness (t); for example, in the single-layer approximation, R=50t for 1% strain. The image shows a bent organic solar cell (courtesy of Lulu Sun).
Device Performance of Emerging Photovoltaic Materials (Version 4)
Osbel Almora, Carlos I. Cabrera, Sule Erten-Ela, Karen Forberich, Kenjiro Fukuda, Fei Guo, Jens Hauch, Anita W. Y. Ho-Baillie, T. Jesper Jacobsson, Rene A. J. Janssen, Thomas Kirchartz, Maria A. Loi, Xavier Mathew, David B. Mitzi, Mohammad K. Nazeeruddin, Ulrich W. Paetzold, Barry P. Rand, Uwe Rau, Takao Someya, Eva Unger, Lídice Vaillant-Roca, Christoph J. Brabec
Advanced Energy Materials 14 (4) 2303173 First Published: 15 December 2023

The 4th emerging PV reports (e-PVr) presented a summary of approaches to classify PV technologies and concepts based on their age, technology readiness as well as cost and efficiency potential. The “PV wave” term was first time introduced within the context of the discussion between the colloquial use of the “PV generation” term and the original definition by M. Green in the decade of 2000.
Device Performance of Emerging Photovoltaic Materials (Version 3)
Osbel Almora, Derya Baran, Guillermo C. Bazan, Carlos I. Cabrera, Sule Erten-Ela, Karen Forberich, Fei Guo, Jens Hauch, Anita W. Y. Ho-Baillie, T. Jesper Jacobsson, Rene A. J. Janssen, Thomas Kirchartz, Nikos Kopidakis, Maria A. Loi, Richard R. Lunt, Xavier Mathew, Michael D. McGehee, Jie Min, David B. Mitzi, Mohammad K. Nazeeruddin, Jenny Nelson, Ana F. Nogueira, Ulrich W. Paetzold, Barry P. Rand, Uwe Rau, Henry J. Snaith, Eva Unger, Lídice Vaillant-Roca, Chenchen Yang, Hin-Lap Yip, Christoph J. Brabec
Advanced Energy Materials 13 (1) 2203313 First Published: 09 December 2022

The 3rd installment of the “Emerging PV reports” continues presenting and analyzing the best research achievements in the performance of emerging single-junction and monolithic multijunction solar cells, as reported in peer-reviewed articles in academic journals since August 2021. In this installment, for the first time, AgBiS2 and triple junction cells are considered.
Device Performance of Emerging Photovoltaic Materials (Version 2)
Osbel Almora, Derya Baran, Guillermo C. Bazan, Christian Berger, Carlos I. Cabrera, Kylie R. Catchpole, Sule Erten-Ela, Fei Guo, Jens Hauch, Anita W. Y. Ho-Baillie, T. Jesper Jacobsson, Rene A. J. Janssen, Thomas Kirchartz, Nikos Kopidakis, Yongfang Li, Maria A. Loi, Richard R. Lunt, Xavier Mathew, Michael D. McGehee, Jie Min, David B. Mitzi, Mohammad K. Nazeeruddin, Jenny Nelson, Ana F. Nogueira, Ulrich W. Paetzold, Nam-Gyu Park, Barry P. Rand, Uwe Rau, Henry J. Snaith, Eva Unger, Lídice Vaillant-Roca, Hin-Lap Yip, Christoph J. Brabec
Advanced Energy Materials 11 (48) 2102526 First Published: 11 November 2021

The 2nd instalment of the “Emerging PV reports” continues presenting and analyzing the best research achievements in the performance of emerging single-junction and monolithic tandem solar cells, as reported in peer-reviewed articles in academic journals since August 2020.
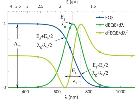
Quantifying the Absorption Onset in the Quantum Efficiency of Emerging Photovoltaic Devices
Osbel Almora, Carlos I. Cabrera, Jose Garcia-Cerrillo, Thomas Kirchartz, Uwe Rau, Christoph J. Brabec
Advanced Energy Materials 11 (11) 2100022 First published: 06 March 2021

External quantum efficiency spectra are parameterized through the sigmoid function for reporting the bandgap energy (Eg) and the sigmoid wavelength range (λs), which quantify the steepness of the absorption onset. Large values of λs indicate significant photovoltage losses and produce particularly high short-circuit currents for some ranges of Eg, regarding the Shockley–Queisser model.
Device Performance of Emerging Photovoltaic Materials (Version 1)
Osbel Almora, Derya Baran, Guillermo C. Bazan, Christian Berger, Carlos I. Cabrera, Kylie R. Catchpole, Sule Erten-Ela, Fei Guo, Jens Hauch, Anita W. Y. Ho-Baillie, T. Jesper Jacobsson, Rene A. J. Janssen, Thomas Kirchartz, Nikos Kopidakis, Yongfang Li, Maria A. Loi, Richard R. Lunt, Xavier Mathew, Michael D. McGehee, Jie Min, David B. Mitzi, Mohammad K. Nazeeruddin, Jenny Nelson, Ana F. Nogueira, Ulrich W. Paetzold, Nam-Gyu Park, Barry P. Rand, Uwe Rau, Henry J. Snaith, Eva Unger, Lídice Vaillant-Roca, Hin-Lap Yip, Christoph J. Brabec
Advanced Energy Materials 11 (11) 2002774 First Published: 04 December 2020

The first survey of the emerging photovoltaic reports initiative summarizes the best achievements published in academic journals in the research of emerging photovoltaic materials, e.g., organic, perovskite, and dye sensitized solar cells. The reports are presented as a function of the bandgap energy for different categories such as transparency, flexibility, and stability, and compared to the Shockley–Queisser limit.
Consensus statement for stability assessment and reporting for perovskite photovoltaics based on ISOS procedures
Mark V. Khenkin, Eugene A. Katz, Antonio Abate, Giorgio Bardizza, Joseph J. Berry, Christoph J. Brabec, Francesca Brunetti, Vladimir Bulović, Quinn Burlingame, Aldo Di Carlo, Rongrong Cheacharoen, Yi-Bing Cheng, Alexander Colsmann, Stephane Cros, Konrad Domanski, Michał Dusza, Christopher J. Fell, Stephen R. Forrest, Yulia Galagan, Diego Di Girolamo, Michael Grätzel, Anders Hagfeldt, Elizabeth von Hauff, Harald Hoppe, Jeff Kettle, Hans Köbler, Marina S. Leite, Shengzhong (Frank) Liu, Yueh-Lin Loo, Joseph M. Luther, Chang-Qi Ma, Morten Madsen, Matthieu Manceau, Muriel Matheron, Michael McGehee, Rico Meitzner, Mohammad K. Nazeeruddin, Ana F. Nogueira, Çağla Odabaşı, Anna Osherov, Nam-Gyu Park, Matthew O. Reese, Francesca De Rossi, Michael Saliba, Ulrich S. Schubert, Henry J. Snaith, Samuel D. Stranks, Wolfgang Tress, Pavel A. Troshin, Vida Turkovic, Sjoerd Veenstra, Iris Visoly-Fisher, Aron Walsh, Trystan Watson, Haibing Xie, Ramazan Yıldırım, Shaik Mohammed Zakeeruddin, Kai Zhu & Monica Lira-Cantu
Nature Energy 5 (1), 35–49 (2020). First Published: 22 January 2020
How to Accurately Report Luminescent Solar Concentrators
Chenchen Yang, Dianyi Liu, Richard R. Lunt
Joule 3 (12) 1871-1876 First Published: 30 October 2019

The study of the light utilization efficiency (LUE), photon balance check, average visible transmittance (AVT) and color rendering index (CRI) are key for good practices in characterization of Luminescent Solar Concentrators, an alternative to transparent solar cells.
How to Accurately Report Transparent Solar Cells
Chenchen Yang, Dianyi Liu, Matthew Bates, Miles C. Barr, Richard R. Lunt
Joule 3 (8) 1803-1809 First Published: 04 June 2019

